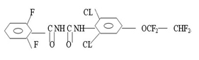
通用名稱:Hexaflumuron
化學名稱:1-[3.5-二氯-4-(1,1,2,2,-四氟乙氧苯)苯基]-3-(2.6-二氟苯甲?;?脲
分子式:C16H8Cl2F6N2O3
分子量:461.1
CAS號:86479-06-3
毒性LD50(mg/kg):
大白鼠急性經口大于5000,大白鼠急性經皮大于5000;大白鼠急性吸入LC50(4h)>2.5mg/L(達到的******濃度)。在田間條件下,僅對水虱有明顯的危害。對蜜蜂的接觸和經口LD50均大于0.1mg/蜜蜂。
結構式:


用途:本品是苯甲酰基脲系列殺蟲劑,對害蟲主要是胃毒及觸殺作用,用于防治棉花,森林樹木,水果和大豆上的鞘翅目、雙翅目、鱗翅目害蟲,且對天敵無害。
產品說明:
本品可制成單劑也可與高效氯氰菊酯、辛硫磷、毒死蜱、阿維菌素、敵敵畏、甲氨基阿維菌素等多種農藥復配形成系列產品。
規格: 97%
包裝規格:25kg/紙板桶


